Product Summary
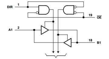
The LC245A is an octal bus transceiver with 3-state outputs. The LC245A is designed for asynchronous communication between data buses. The LC245A transmits data from the A bus to the B bus or from the B bus to the A bus, depending on the logic level at the direction-control (DIR) input. The output-enable (OE) input can be used to disable the device so the buses effectively are isolated.
Parametrics
LC245A absolute maximum ratings: (1)supply voltage range: 6.5V; (2)input voltage range: 6.5V; (3)input clamp current: -50mA; (4)continuous output current: ±50mA; (5)continuous current through VCC or GND: ±100mA.
Features
LC245A features: (1)Operates From 1.65 V to 3.6 V; (2)Inputs Accept Voltages to 5.5 V; (3)Max tpd of 6.3 ns at 3.3 V; (4)Typical VOLP (Output Ground Bounce) <0.8 V at VCC = 3.3 V, TA = 25°C; (5)Typical VOHV (Output VOH Undershoot) >2 V at VCC = 3.3 V, TA = 25°C; (6)I off Supports Partial-Power-Down Mode Operation; (7)Supports Mixed-Mode Signal Operation on All Ports (5-V Input/Output Voltage With 3.3-V VCC); (8)Latch-Up Performance Exceeds 250 mA Per JESD 17.
Diagrams

(China (Mainland))






